GRE Problem Solving Question 1780
Home > GRE Test > GRE Problem Solving Questions
Next steps
- Use your browser's back button to return to your test results.
- Do more GRE Problem Solving Questions.
Source: Cracking
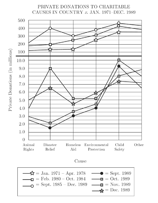
If funds contributed to child safety organizations in September 1989 were distributed evenly to those 38 organizations, approximately how much did each charity receive?
- A $12,000,000
- B $9,400,000
- C $2,500,000
- D $250,000
- E $38,000